We present mid-infrared photometry and measured global properties of the 100 largest galaxies in the sky, including the well-studied Magellanic Clouds, Local Group galaxies M31 and M33, the Fornax and Virgo Galaxy Cluster giants, and many of the most spectacular Messier objects (e.g., M51 and M83). This is the first release of a larger catalog of extended sources as imaged in the mid-infrared, called the WISE Extended Source Catalogue (WXSC).




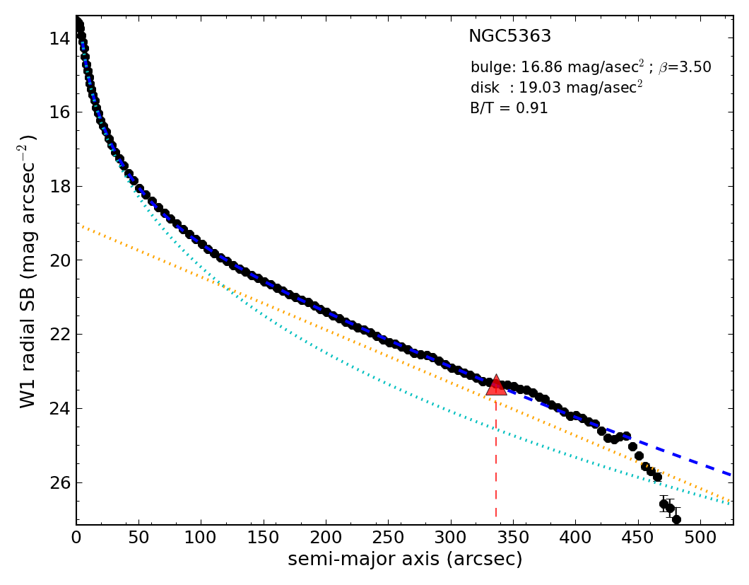
In this study, we measure their global attributes, including integrated flux, surface brightness and radial distribution. The largest of the large are the LMC, SMC and the Andromeda Galaxy, which are also the brightest mid-infrared galaxies in the sky. We interrogate the large galaxies using WISE colors, which serve as proxies for four general types of galaxies: bulge-dominated spheroidals, intermediate semi-quiescent disks, star-forming spirals, and AGN-dominated. The colors reveal a tight "sequence" that spans 5 magnitudes in (W2 - W3) color, ranging from early to late-types, and low to high star-forming activity; we fit the functional form given by:
.png)
Departures from this sequence may reveal nuclear, starburst, and merging events. Physical properties and luminosity attributes are computed, notably the diameter, aggregate stellar mass and the dust-obscured star formation activity. To effectively study and compare these galaxy characteristics, we introduce the "pinwheel" diagram which depicts physical properties with respect to the median value observed for WISE galaxies in the local universe. Utilized with the WXSC, this diagram will delineate between different kinds of galaxies, identifying those with similar star formation and structural properties. Finally, we present the mid-infrared photometry of the 25 brightest globular clusters in the sky, for which many are also the largest and brightest objects orbiting the Milky Way, including Omega Centauri, 47 Tucanae and a number of famed night-sky targets (e.g., M13).
.png)










The machine-readable tables from Jarrett et al. 2019 can be accessed here
The machine-readable tables from Jarrett et al. 2019 can be accessed here